当前位置:雨林木风下载站 > 网页设计教程 > 详细页面

javascript如何完成值的分类转换

javascript如何完成值的分类转换

更新时间:2025-12-08 文章作者:未知 信息来源:网络 阅读次数:

网页的本质就是超级文本标记语言,通过结合使用其他的Web技术(如:脚本语言、公共网关接口、组件等),可以创造出功能强大的网页。因而,超级文本标记语言是万维网(Web)编程的基础,也就是说万维网是建立...
网页的本质就是超级文本标记语言,通过结合使用其他的Web技术(如:脚本语言、公共网关接口、组件等),可以创造出功能强大的网页。因而,超级文本标记语言是万维网(Web)编程的基础,也就是说万维网是建立在超文本基础之上的。超级文本标记语言之所以称为超文本标记语言,是因为文本中包含了所谓“超级链接”点。
本篇文章给大家介绍使用javascript进行值的类型转换的方法,有一定的参考价值,有需要的朋友可以参考一下,希望对你们有所帮助。

JavaScript是松散类型的语言,大多数情况下,运算符和函数会自动将值转换为正确的类型(隐式转换);但也有一些情况需要显式的进行类型转换。【相关视频教程推荐:JavaScript教程

隐式转换

JavaScript中有各种运算符和函数,它们自动将值转换为正确的类型,如JavaScript中的alert()函数接受任何值并将其转换为字符串。但是各种运算符会产生类似'+'运算符的问题。
例:

输入: “2”+“3”
输出: “23”

在这种情况下,这里的“+”运算符代表字符串连接。
但是,输入“3” - “1”就会通过使用“隐式转换”就会给出输出结果:2。

下面我们来看看隐式转换的简单代码示例:

代码1:此代码显示JavaScript中的隐式类型转换。

<script> 
	  document.write('("3" - "1") = ' + ("3" - "1") + "<br>"); 
	  document.write('("3" - 1) = ' + ("3" - 1) + "<br>"); 
	  document.write('("3" * "2") = ' + ("3" * "2") + "<br>"); 
	  document.write('("3" % "2") = ' + ("3" % "2") + "<br>"); 
	  document.write('("3" + null) = ' + ("3" + null) + "<br>"); 
</script>

运行后,输出:

1.jpg

显式转换

虽然JavaScript提供了多种方法可以将数据从一种类型转换为另一种类型,但有两种最常见的数据转换方式:

1、将值转换为字符串

2、将值转换为数字

3、将值转换为布尔类型

下面我们就来看看javascript是如何实现这两种最常见的数据转换方式的。

将值转换为字符串

使用String()或toString()函数将值转换为字符串。

String()函数

语法:

String(value);

例:

先使用 typeof value查看值的类型。

在使用String)函数进行转换,在查看值的类型

let value = true;
alert(typeof value); // 显示值为:boolean类型
value = String(value); // 现在,值“true”是一个字符串类型
alert(typeof value); // 显示值为:string类型

运行:

1.gif

toString()函数

语法:

variableName.toString(base)

例:

输入:
var v = 1555;
var s = v.toString();
输出:
现在s包含的值是字符串类型:“1555”。

代码2:

下面的代码将数字转换为字符串,布尔值转换为字符串,日期转换为字符串。

<script> 
    
  // 分别定义编号:v和日期:d
  var v = 123; 
  var d = new Date('1995-12-17T03:24:00'); 
    
  // 数转换为字符串
  document.write(" String(v) = " + String(v) + "<br>");  
    
  // 数转换为字符串
  document.write(" String(v + 11) = " + String(v + 11) + "<br>"); 
  document.write(" String( 10 + 10) = " + String(10 + 10) + "<br>");  
    
  // 布尔值转换为字符串
  document.write(" String(false) = " + String(false) + "<br>");  
    
  // 日期转换为字符串
  document.write(" String(d) = " + String(d) + "<br>");  
    
</script>

输出:

2.jpg

将值转换为数字:

我们可以使用JavaScript中的Number()函数将值转换为数字。它可以将任何数字文本和布尔值转换为数字。如果是非数字字符串,它会将其转换为NaN(非数字)。

语法:

Number(valueToConvert)

示例:

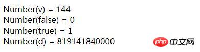
代码1:下面的代码将数字文本,日期和布尔值转换为数字。

<script> 
    
  // 分别定义编号:v和日期:d
  var v = "144"; 
  var d = new Date('1995-12-17T03:24:00'); 
    
  // 字符串转换为数字
  document.write(" Number(v) = " + Number(v) + "<br>");  
    
  //布尔值转换为数
  document.write(" Number(false) = " + Number(false) + "<br>");  
  document.write(" Number(true) = " + Number(true) + "<br>"); 
    
  // 日期转换为数字
  document.write(" Number(d) = " + Number(d) + "<br>"); 
    
</script>

运行输出:

3.jpg

代码2:如果字符串是非数字,则将其转换为NaN,空格字符串或空字符串将转换为0。

<script> 
    
    // 指定空字符串
    var v = ""; 
      
    // 分配空白空间
    var d = " "; 
      
    // 分配非数字串
    var s = "GeeksforGeeks"; 
      
    // 输出 数的转换值
    document.write(" Number(v) = " + Number(v) + "<br>"); 
    document.write(" Number(d) = " + Number(d) + "<br>"); 
    document.write(" Number(s) = " + Number(s) + "<br>");
    
</script>

运行,输出:

4.jpg

将值转换为布尔类型

布尔转换是最简单的。

它发生在逻辑运算中,但也可以通过调用手动执行Boolean(value)。

转换规则:

1、直观“空”的值,例如0,空字符串null,undefined并且NaN变为false。

2、其他的值变为true。

语法:

Boolean(value)

示例:

// 数字转换为布尔值
	  document.write("Boolean(0) = " + Boolean(0) + "<br>");  
	  document.write("Boolean(1) = " +Boolean(1) + "<br>"); 
	  document.write("Boolean(2) = " + Boolean(2) + "<br>");  

// 字符串转换为布尔值
	  document.write(" Boolean('hello')  = " + Boolean('hello') + "<br>"); 
	  document.write(" Boolean('')  = " + Boolean('') + "<br>");

输出:

2.jpg

总结:以上就是本篇文章的全部内容,希望能对大家的学习有所帮助。

以上就是javascript如何实现值的类型转换的详细内容,更多请关注php中文网其它相关文章!


网站建设是一个广义的术语,涵盖了许多不同的技能和学科中所使用的生产和维护的网站。

温馨提示:喜欢本站的话,请收藏一下本站!

本类教程下载

系统下载排行