当前位置:雨林木风下载站 > 办公软件教程 > 详细页面

Excel中KURT函数的语法与用法

Excel中KURT函数的语法与用法

更新时间:2023-12-24 文章作者:未知 信息来源:网络 阅读次数:

Microsoft Excel是Microsoft为使用Windows和Apple Macintosh操作系统的电脑编写的一款电子表格软件。直观的界面、出色的计算功能和图表工具,再加上成功的市场营销,使Excel成为最流行的个人计算机数据处理软件。

本文介绍Microsoft Excel中KURT函数的语法和用法。

函数说明

KURT函数主要作用是返回数据集的峰值。峰值反映与正态分布相比某一分布的尖锐度或平坦度。正峰值表示相对尖锐的分布。负峰值表示相对平坦的分布。

函数语法

KURT(number1,number2,...)

KURT(计算区域)

参数说明

Number1,number2, ...? ? 是用于计算峰值的 1 到 30 个参数。也可以不使用这种用逗号分隔参数的形式,而用单个数组或数组引用的形式。

函数备注

  • 参数可以是数字,或者是包含数字的名称、数组或引用。?

  • 如果数组或引用参数包含文本、逻辑值或空白单元格,则这些值将被忽略;但包含零值的单元格将计算在内。?

  • 如果数据点少于 4 个,或样本标准偏差等于 0,函数 KURT 返回错误值 #DIV/0!。?

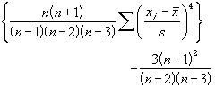
  • 峰值的计算公式如下:?

峰值计算公式

式中:

S 为样本的标准偏差。

函数示例

假如有这样2组数据,分别为2个班级的“计算机二级ms office”的成绩

学生 班级A 班级B
1 88 88
2 89 99
3 87 55
4 90 61
5 92 2

其实可以推测出班级A应该是负数,班级B应该是正数

以下是Excel中使用KURT函数效果截图

Excel中使用KURT函数


Excel整体界面趋于平面化,显得清新简洁。流畅的动画和平滑的过渡,带来不同以往的使用体验。

温馨提示:喜欢本站的话,请收藏一下本站!

本类教程下载

系统下载排行