当前位置:雨林木风下载站 > 办公软件教程 > 详细页面

Excel中EXPONDIST函数的语法与用法

Excel中EXPONDIST函数的语法与用法

更新时间:2023-12-24 文章作者:未知 信息来源:网络 阅读次数:

Microsoft Excel是Microsoft为使用Windows和Apple Macintosh操作系统的电脑编写的一款电子表格软件。直观的界面、出色的计算功能和图表工具,再加上成功的市场营销,使Excel成为最流行的个人计算机数据处理软件。

本文介绍Microsoft Excel中EXPONDIST函数的语法和用法。

EXPONDIST函数适用于:Excel2003、Excel2007、Excel2010、Excel2013、Excel2016。

函数说明

EXPONDIST函数主要作用是返回指数分布。使用函数 EXPONDIST 可以建立事件之间的时间间隔模型,例如,在计算银行自动提款机支付一次现金所花费的时间时,可通过函数 EXPONDIST 来确定这一过程最长持续一分钟的发生概率。

函数语法

EXPONDIST(x,lambda,cumulative)

EXPONDIST(函数的数值,参数值,函数的形式)

参数说明

X:函数的数值。

Lambda:参数值。

Cumulative:为一逻辑值,指定指数函数的形式。如果 cumulative 为 TRUE,函数 EXPONDIST 返回累积分布函数;如果 cumulative 为 FALSE,返回概率密度函数。

函数备注

  • 如果 x 或 lambda 为非数值型,函数 EXPONDIST 返回错误值 #VALUE!。?

  • 如果 x < 0,函数="" expondist="" 返回错误值="">

  • 如果 labmda ≤ 0,函数 EXPONDIST 返回错误值 #NUM!。?

概率密度函数的计算公式为:?

概率密度函数的计算公式

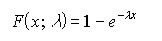
累积分布函数的计算公式为:?

累积分布函数的计算公式

函数示例

以下是Excel中使用EXPONDIST函数效果截图

Excel中使用EXPONDIST函数


Excel整体界面趋于平面化,显得清新简洁。流畅的动画和平滑的过渡,带来不同以往的使用体验。

温馨提示:喜欢本站的话,请收藏一下本站!

本类教程下载

系统下载排行